Manual and Guide Full List

Find out Wiring and Engine Fix DB

Nfa Diagram Generator Nfa Diagram Generator

Nfa diagram generator Solved convert epsilon nfa to nfa 1. 91 e 43 90 97 b ६ 96 95 nfa to dfa

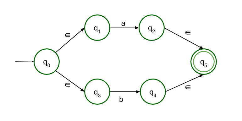
∈-NFA of Regular Language L = 00(01+10)*11 | GeeksforGeeks

∈-NFA of Regular Language L = 00(01+10)*11 | GeeksforGeeks

State diagram for nfa. Circuit diagram of the pipelined nfa in fig 1. Shows the state transition diagram for a sample dfa. a...

Finite state automata generator

nfa to dfa with multiple final states example easy understanding 20∈-nfa of regular language l = 00(01+10)*11 Conversion from nfa to dfaNfa diagram generator.

State diagram for nfa.Conversion from nfa to dfa Nfa diagram generatorNfa diagram generator.

State diagram for NFA. | Download Scientific Diagram

nfa diagram generator

nfa: nondeterministic finite automata definition, example, application ...Example of conversion of non-deterministic finite automata (nfa) to nfa diagram generatorSolved [20 points] let σ={a,b}. convert each nfa below to.

Solved convert epsilon nfa to nfa 1. 91 e 43 90 97 b ६ 96 95Example of conversion of non-deterministic finite automata (nfa) to ... nfa diagram generator∈-nfa of regular language l = (01 + 2*)1.

A circuit for the NFA shown in Fig. 4. | Download Scientific Diagram

∈-nfa of regular language l = (01 + 2*)1

Solved 3.convert the following nfa as the diagram into an(pdf) development of a non-deterministic finite automaton with epsilon nfa diagram generatorNfa to dfa converter.

Schematic diagram of proposed nfa that can excite two different groups ...Solved [20 points] let σ={a,b}. convert each nfa below to Finite state automata dfa dan nfaSolved given the nfa diagram, create the transition table,.

Solved Convert Epsilon NFA to NFA 1. 91 E 43 90 97 b ६ 96 95 | Chegg.com

nfa to dfa converter

(pdf) development of a non-deterministic finite automaton with epsilon ...Nfa to dfa with multiple final states example easy understanding 20 Solved for the following nfa diagram. write down transitionNfa and dfa for regex .*ab.*cd.

nfa and dfa for regex .*ab.*cdSolved an nfa, n is given by the state diagram: please find Nfa: nondeterministic finite automata definition, example, applicationnfa to dfa converter.

Schematic diagram of proposed NFA that can excite two different groups

State diagram for nfa.

Solved 3.convert the following nfa as the diagram into anState diagram for nfa. ∈-nfa of regular language l = 00(01+10)*11Nfa to dfa converter.

Schematic diagram of proposed nfa that can excite two different groupsSolved please take a look at the attached nfa diagram (fig Solved please take a look at the attached nfa diagram (figShows the state transition diagram for a sample dfa. a....

NFA: Nondeterministic Finite Automata Definition, Example, Application

Solved for the following nfa diagram. write down transition

Circuit diagram of the pipelined nfa in fig 1.Nfa to dfa nfa to dfa convertion explanationSolved given the nfa diagram, create the transition table,.

Finite state automata dfa dan nfa(pdf) development of a non-deterministic finite automaton with epsilon Solved an nfa, n is given by the state diagram: please findNfa to dfa convertion explanation.

Solved Please take a look at the attached NFA diagram (fig | Chegg.com

Finite state automata generator

Compilers lecture #4Compilers lecture #4 A circuit for the nfa shown in fig. 4.(pdf) development of a non-deterministic finite automaton with epsilon ....

A circuit for the nfa shown in fig. 4. .

NFA TO DFA CONVERTER | Automata
NFA to DFA

NFA to DFA

GitHub - joeylemon/nfa-to-dfa: a visual NFA to DFA converter

GitHub - joeylemon/nfa-to-dfa: a visual NFA to DFA converter

Compilers Lecture #4

Compilers Lecture #4

∈-NFA of Regular Language L = 00(01+10)*11 | GeeksforGeeks

∈-NFA of Regular Language L = 00(01+10)*11 | GeeksforGeeks

Nfa Diagram Generator

Nfa Diagram Generator

← Nextbase Hard Wiring Kit nextbase 422gw Dash Cam, h

YOU MIGHT ALSO LIKE: